Thursday, December 17, 2015

Ki 67 Triple Negative Breast Cancer

Ki 67 Triple Negative Breast Cancer Pictures

High Expression Of MiR-214 Is Associated With A Worse Disease ...
Gene mutations and 32 triple-negative sporadic breast cancer patients. Quantitative amount of mir-10b, mir-21 Triple-negative breast cancer patients with high level of miR-214 showed significantly worse disease-specific proliferation index Ki-67, and poor prognosis for the pa ... Doc Retrieval

Images of Ki 67 Triple Negative Breast Cancer

Patients’ Preferences And Willingness-to-pay For ...
Ngorsuraches and Thongkeaw SpringerPlus Page 2 of 11 patients in Thailand, metastatic breast cancer accounted for 8.8 %, which tended to ... Visit Document

Ki 67 Triple Negative Breast Cancer

The Role Of The Ki-67 Tumor Marker Test In Breast Cancer ...
About the Ki-67 Tumor Marker and Breast Cancer. Although the Ki-67 test is not always used for breast cancer, many studies have been done to determine its value as a tumor marker test. If your level of Ki-67 came back negative, ... Read Article

Ki 67 Triple Negative Breast Cancer

Breast Cancer Subtypes Based On ER/PR And Her2 Expression ...
Breast Cancer Subtypes. CM&R . 2009 : 1/2 (June) of Her2 receptor status. Marshfield Laboratories considers a test result of 0 to 1+ as negative and 3+ as positive. ... Fetch Full Source

Pictures of Ki 67 Triple Negative Breast Cancer

Pleomorphic Lobular Carcinoma - UAMS Hospital
–PLC is a unique distinctive breast cancer –Morphology, negative E-cadherin, and lacking Is Pleomorphic Lobular Carcinoma Really a Distinct Entity? Her-2 All negative All negative >.99 Ki-67 > 10% 5/7 7/58 .002 Follow-up (median, ... Retrieve Content

Ki 67 Triple Negative Breast Cancer Images

Breast cancer Recurrence In - Pubs.rsna.org
(negative or positive), Ki-67 status (.14% or 14%), HER2 [human epidermal growth fac-tor receptor type 2]–enriched, or triple negative), and lymphovascular invasion (no or yes). Since 2007, owing to ad-vanced MR BREAST IMAGING: Breast Cancer Recurrence in Matched Cohort Groups ... Read Full Source

Ki 67 Triple Negative Breast Cancer

Genomic Medicine And Breast Cancer Past, Present, And Future
Genomic Medicine and Breast Cancer Present . Treatment based on: Ki-67 . STK15 . Survivin . Cyclin B1 . MYBL2 . OTHER GSTM1 . CD68 . BAG1 . HER2 GRB7 . HER2 . INVASION Stromolysin 3 . Cathepsin L2 . Hormone receptor postive and negative . ... Fetch This Document

Ki 67 Triple Negative Breast Cancer

MMP-9 Expression Varies According To Molecular Subtypes Of ...
MMP-9 expression varies according to molecular subtypes of breast cancer Einas M Yousef1, Muhammad R Tahir2, Yves St-Pierre3 and Louis A positive) or (ER positive, PR positive, HER-2 negative and Ki-67≥14%). Triple negative breast cancers consisted of tumors that lack expression of ER, PR ... View This Document

Images of Ki 67 Triple Negative Breast Cancer

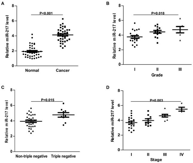
MiRNAs And Other Epigenetic Changes As Biomarkers In Triple ...
Biomarkers in Triple Negative Breast Cancer Andrea Mathe 1,2, Rodney J. Scott 1,2,3 and Kelly A. Avery-Kiejda 1,2,* Received: 22 September 2015; Accepted: Ki-67 index, and type of surgery, and found that only lymph node status was marginally significantly associated with poor prognosis. ... Document Retrieval

Pictures of Ki 67 Triple Negative Breast Cancer


ƈ

No comments:

Post a Comment